Object-C,循环语句for,while,do-while
8
10行C++代码实现高性能HTTP服务
7
go语言基础 seek光标位置os包的使用
7
C++实现单例模式的自动释放
5
使用qt quick-ListView仿微信好友列表和聊天列表的示例代码
7
详解C++实现拓扑排序算法
9
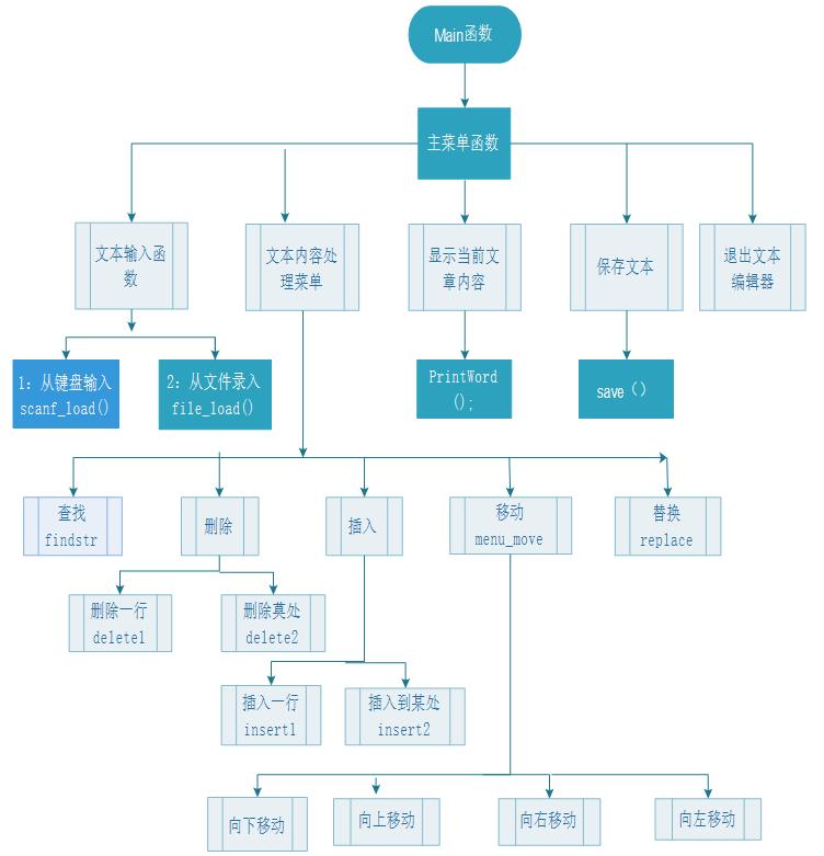
C语言实现简易文本编辑器
5
C语言实现简单的文本编辑器
3
c语言关于空数组的问题解析
12
C语言实现简易文本编译器
6
冒泡排序算法C语言代码测试总结
6
C++实现二分法求方程近似解
7
C++模板学习之智能指针类模板
6
C语言中杨氏矩阵与杨辉三角的实现方法
8
C++基础-无符号类型、选择整型类型和整型字面值实例讲解
16
温故C语言内存管理
10
C++模板学习之单例类模板问题
5
C++ vector容器 find erase的使用操作:查找并删除指定元素
4
C++模板学习之深入理解函数模板
6
C语言实现简单计算器
9
