矩阵(稀疏矩阵)压缩存储(3种方式)
- 作者: 强0911
- 来源: 51数据库
- 2022-09-29
数据结构中,提供针对某些特殊矩阵的压缩存储结构。
这里所说的特殊矩阵,主要分为以下两类:
含有大量相同数据元素的矩阵,比如对称矩阵;
含有大量 0 元素的矩阵,比如稀疏矩阵、上(下)三角矩阵;
针对以上两类矩阵,数据结构的压缩存储思想是:矩阵中的相同数据元素(包括元素 0)只存储一个。
对称矩阵

图 1 对称矩阵示意图
图 1 的矩阵中,数据元素沿主对角线对应相等,这类矩阵称为对称矩阵。
矩阵中有两条对角线,其中图 1 中的对角线称为主对角线,另一条从左下角到右上角的对角线为副对角线。对称矩阵指的是各数据元素沿主对角线对称的矩阵。
结合数据结构压缩存储的思想,我们可以使用一维数组存储对称矩阵。由于矩阵中沿对角线两侧的数据相等,因此数组中只需存储对角线一侧(包含对角线)的数据即可。
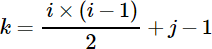
对称矩阵的实现过程是,若存储下三角中的元素,只需将各元素所在的行标 i 和列标 j 代入下面的公式:

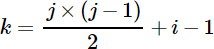
存储上三角的元素要将各元素的行标 i 和列标 j 代入另一个公式:

最终求得的 k 值即为该元素存储到数组中的位置(矩阵中元素的行标和列标都从 1 开始)。
例如,在数组 skr[6] 中存储图 1 中的对称矩阵,则矩阵的压缩存储状态如图 3 所示(存储上三角和下三角的结果相同):

图 3 对称矩阵的压缩存储示意图
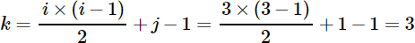
注意,以上两个公式既是用来存储矩阵中元素的,也用来从数组中提取矩阵相应位置的元素。例如,如果想从图 3 中的数组提取矩阵中位于 (3,1) 处的元素,由于该元素位于下三角,需用下三角公式获取元素在数组中的位置,即:

结合图 3,数组下标为 3 的位置存储的是元素 3,与图 1 对应。
上(下)三角矩阵

图 4 上(下)三角矩阵
如图 4 所示,主对角线下的数据元素全部相同的矩阵为上三角矩阵(图 4a)),主对角线上元素全部相同的矩阵为下三角矩阵(图 4b))。
对于这类特殊的矩阵,压缩存储的方式是:上(下)三角矩阵采用对称矩阵的方式存储上(下)三角的数据(元素 0 不用存储)。
例如,压缩存储图 4a) 中的上三角矩阵,矩阵最终的存储状态同图 3 相同。因此可以得出这样一个结论,上(下)三角矩阵存储元素和提取元素的过程和对称矩阵相同。
稀疏矩阵

图 5 稀疏矩阵示意图
如图 5 所示,如果矩阵中分布有大量的元素 0,即非 0 元素非常少,这类矩阵称为稀疏矩阵。
压缩存储稀疏矩阵的方法是:只存储矩阵中的非 0 元素,与前面的存储方法不同,稀疏矩阵非 0 元素的存储需同时存储该元素所在矩阵中的行标和列标。
例如,存储图 5 中的稀疏矩阵,需存储以下信息:
(1,1,1):数据元素为 1,在矩阵中的位置为 (1,1);
(3,3,1):数据元素为 3,在矩阵中的位置为 (3,1);
(5,2,3):数据元素为 5,在矩阵中的位置为 (2,3);
除此之外,还要存储矩阵的行数 3 和列数 3;
由此,可以成功存储一个稀疏矩阵。
注意,以上 3 种特殊矩阵的压缩存储,除了将数据元素存储起来,还要存储矩阵的行数值和列数值,具体的实现方式后续会介绍 3 种,本节仅需了解矩阵压缩存储的原理。
矩阵压缩存储的 3 种方式
对于以上 3 种特殊的矩阵,对阵矩阵和上下三角矩阵的实现方法是相同的,且实现过程比较容易,仅需套用上面给出的公式即可。
稀疏矩阵的压缩存储,数据结构提供有 3 种具体实现方式:
三元组顺序表;
行逻辑链接的顺序表;
十字链表;
稀疏矩阵的三种存储结构,会利用后续的 3 篇文章做重点介绍。
