什么是二叉树,包含满二叉树和完全二叉树
- 作者: 灰飛湮灭
- 来源: 51数据库
- 2022-10-02
通过《树的存储结构》一节的学习,我们了解了一些树存储结构的基本知识。本节将给大家介绍一类具体的树结构——二叉树。
简单地理解,满足以下两个条件的树就是二叉树:
本身是有序树;
树中包含的各个节点的度不能超过 2,即只能是 0、1 或者 2;
例如,图 1a) 就是一棵二叉树,而图 1b) 则不是。

图 1 二叉树示意图
二叉树的性质
经过前人的总结,二叉树具有以下几个性质:
二叉树中,第 i 层最多有 2i-1 个结点。
如果二叉树的深度为 K,那么此二叉树最多有 2K-1 个结点。
二叉树中,终端结点数(叶子结点数)为 n0,度为 2 的结点数为 n2,则 n0=n2+1。
性质 3 的计算方法为:对于一个二叉树来说,除了度为 0 的叶子结点和度为 2 的结点,剩下的就是度为 1 的结点(设为 n1),那么总结点 n=n0+n1+n2。
同时,对于每一个结点来说都是由其父结点分支表示的,假设树中分枝数为 B,那么总结点数 n=B+1。而分枝数是可以通过 n1 和 n2 表示的,即 B=n1+2*n2。所以,n 用另外一种方式表示为 n=n1+2*n2+1。
两种方式得到的 n 值组成一个方程组,就可以得出 n0=n2+1。
二叉树还可以继续分类,衍生出满二叉树和完全二叉树。
满二叉树
如果二叉树中除了叶子结点,每个结点的度都为 2,则此二叉树称为满二叉树。

图 2 满二叉树示意图
如图 2 所示就是一棵满二叉树。
满二叉树除了满足普通二叉树的性质,还具有以下性质:
满二叉树中第 i 层的节点数为 2n-1 个。
深度为 k 的满二叉树必有 2k-1 个节点 ,叶子数为 2k-1。
满二叉树中不存在度为 1 的节点,每一个分支点中都两棵深度相同的子树,且叶子节点都在最底层。
具有 n 个节点的满二叉树的深度为 log2(n+1)。
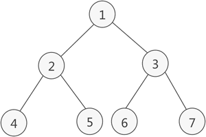
完全二叉树
如果二叉树中除去最后一层节点为满二叉树,且最后一层的结点依次从左到右分布,则此二叉树被称为完全二叉树。

图 3 完全二叉树示意图
如图 3a) 所示是一棵完全二叉树,图 3b) 由于最后一层的节点没有按照从左向右分布,因此只能算作是普通的二叉树。
完全二叉树除了具有普通二叉树的性质,它自身也具有一些独特的性质,比如说,n 个结点的完全二叉树的深度为 ?log2n?+1。
?log2n? 表示取小于 log2n 的最大整数。例如,?log24? = 2,而 ?log25? 结果也是 2。
对于任意一个完全二叉树来说,如果将含有的结点按照层次从左到右依次标号(如图 3a)),对于任意一个结点 i ,完全二叉树还有以下几个结论成立:
当 i>1 时,父亲结点为结点 [i/2] 。(i=1 时,表示的是根结点,无父亲结点)
如果 2*i>n(总结点的个数) ,则结点 i 肯定没有左孩子(为叶子结点);否则其左孩子是结点 2*i 。
如果 2*i+1>n ,则结点 i 肯定没有右孩子;否则右孩子是结点 2*i+1 。
总结
本节介绍了什么是二叉树,以及二叉树的性质,同时还介绍了满二叉树和完全二叉树以及各自所特有的性质,初学者需理解并牢记这些性质,才能更熟练地使用二叉树解决实际问题。
